160.相交链表
题目描述
- 给你两个单链表的头节点 headA 和 headB ,请你找出并返回两个单链表相交的起始节点。如果两个链表不存在相交节点,返回 null 。
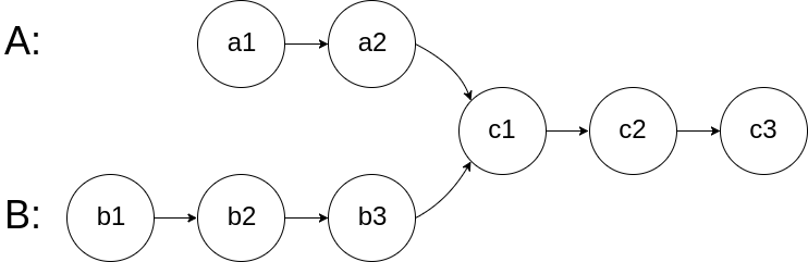
- 图示两个链表在节点 c1 开始相交:

- 注意,函数返回结果后,链表必须 保持其原始结构。
思路
详解
为什么把链表连起来,就可以得到相交的部分。
首先是两个链表(约定,值相同代表同一节点,0 代表空节点) A 表:[1, 2, 3, 7, 8, 9] B 表:[4, 5, 7, 8, 9]
连接两个链表(表与表之间用 0 隔开) AB 表:[1, 2, 3, 7, 8, 9, 0, 4, 5, 7, 8, 9, 0] BA 表:[4, 5, 7, 8, 9, 0, 1, 2, 3, 7, 8, 9, 0]
观察连接后的两个表,可以发现相交的部分整齐的排列在末尾, 只需要逐个比较这两张表的节点,就能找到相交的起始位置。
如果没有相交会如何?会陷入死循环吗? A 表:[1, 2, 3] B 表:[4, 5]
连接两个链表(表与表之间用 0 隔开) AB 表:[1, 2, 3, 0, 4, 5, 0] BA 表:[4, 5, 0, 1, 2, 3, 0]
观察连接后的两个表,可以发现末尾相交的部分必然为空, 参照上面的逻辑,返回首个相同的节点,为空是符合题意的。
如果连接两表时,不用 0 隔开,表不相交时,就会陷入死循环。
但是写代码时,不可能往链表中插入空节点,所以就用一个指针,模拟遍历两个相交表的过程, 当指针指向空时,重新指向另一个链表的头节点,否则就指向下一个节点。
代码
js
/**
* Definition for singly-linked list.
* function ListNode(val) {
* this.val = val;
* this.next = null;
* }
*/
/**
* @param {ListNode} headA
* @param {ListNode} headB
* @return {ListNode}
*/
var getIntersectionNode = function (headA, headB) {
let A = headA,
B = headB;
while (A !== B) {
A = A !== null ? A.next : headB;
B = B !== null ? B.next : headA;
}
return A;
};
russ