206.反转链表
题目描述
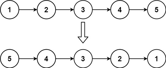
- 给你单链表的头节点 head ,请你反转链表,并返回反转后的链表。
示例

思路
思路
- 如果链表为空或链表只有一个节点,则无需反转,直接返回头节点
- 定义一个前驱节点
prev指向null再定义一个cur指向head - 当
cur不为空时,定义一个next指向cur的下一个节点 - 交换
cur和prev - 将
cur指向next - 当
cur为空时 返回prev就可以 - 具体交换规则见代码
代码
js
/**
* Definition for singly-linked list.
* function ListNode(val) {
* this.val = val;
* this.next = null;
* }
*/
/**
* @param {ListNode} head
* @return {ListNode}
*/
var reverseList = function (head) {
if (head === null || head.next === null) return head;
let prev = null; // 定义一个前驱节点
let cur = head; // 当前节点
while (cur) {
let next = cur.next; // 定义一个后继节点
cur.next = prev;
prev = cur;
cur = next;
}
return prev;
};
russ